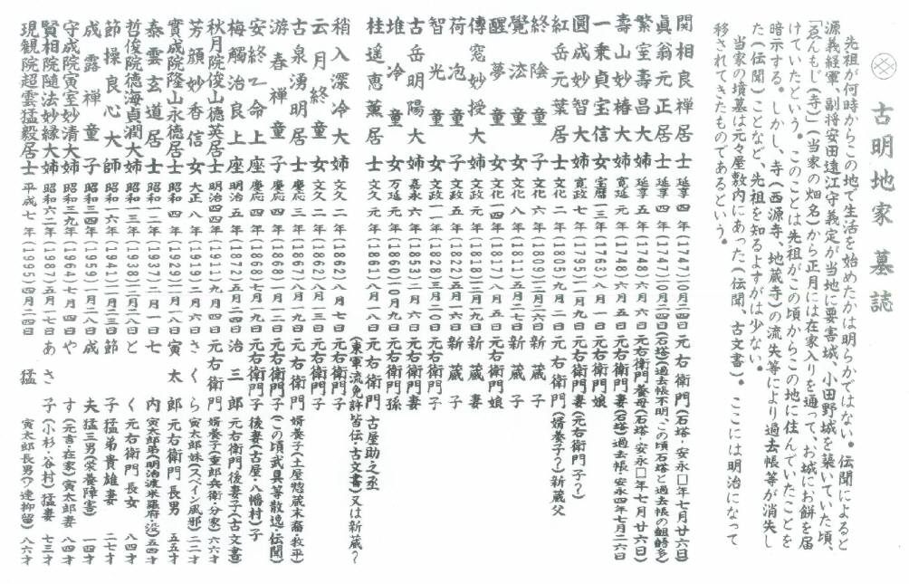
古明地家墓誌原稿